
OpenAI aims to acquire the AI star Windsurf for $3 billion! Sworn to dominate the AI programming field

OpenAI is in talks to acquire the AI programming startup Windsurf, formerly known as Codeium, for about $3 billion. The company competes with AI programming tools like Cursor, and OpenAI hopes to solidify its leadership in the generative AI space through this acquisition. This news has been confirmed by CNBC, and negotiations are still ongoing. OpenAI recently completed a $40 billion financing round, reaching a valuation of $300 billion, setting a record for the highest valuation of a private tech company
According to media reports citing informed sources, OpenAI, a leader in the field of generative AI, is in talks to acquire the AI startup Windsurf, which focuses on AI programming assistance tools, for a value of up to $3 billion. Windsurf, formerly known as Codeium, is in fierce competition with another globally popular AI programming tool, Cursor, as well as existing AI programming assistance features from tech companies like Microsoft, Anthropic, and OpenAI.
U.S. media CNBC has confirmed that OpenAI is negotiating to acquire the AI programming startup Windsurf for approximately $3 billion. Bloomberg was the first to report on this potential blockbuster deal, and CNBC later confirmed the news with an anonymous source, as negotiations are still ongoing.
In the context of increasing global competition in generative AI, OpenAI is accelerating its efforts to maintain an absolute leading advantage in AI large models and generative AI applications. Its competitors include Google, Anthropic, and xAI, founded and led by Tesla CEO Elon Musk, all of which are heavily investing and continuously launching updated generative AI products.
At the end of last month, OpenAI completed a funding round of up to $40 billion, bringing its latest valuation to $300 billion, setting a record for the highest valuation ever for a private tech company and in the global generative AI field.
OpenAI is speeding up the update and iteration of its globally leading AI large models and generative AI applications, continuously creating AI large models and related AI applications that rank first in comprehensive performance worldwide. It is also intensifying its layout in AI programming, which is currently the hottest sub-segment in the generative AI application software field—this is why OpenAI is willing to attempt to acquire the AI programming startup Windsurf for as much as $3 billion.
This Wednesday, Eastern Time, OpenAI made a shocking announcement of two long-awaited AI large models and their corresponding generative AI applications—namely, the newly released full-version o3 and o4-mini series inference large models and the latest generative AI application products. OpenAI emphasized during the live launch that the newly released AI large models possess the ability to "think with images," meaning they can deeply understand and comprehensively analyze sketches and charts provided by users, even if the image quality is very low. Additionally, OpenAI also open-sourced the programming tool Codex CLI at the product launch, which is a lightweight AI agent focused on programming that can run in the terminal.
It is understood that if the deal with Windsurf is finalized, it will be OpenAI's largest acquisition to date. Previously, OpenAI had made several smaller acquisitions, including the acquisition of analytics database provider Rockset and video collaboration platform Multi in June last year It also includes that as early as 2023, OpenAI acquired Global Illumination. According to a blog post at the time of the announcement, the company "leverages artificial intelligence to build innovative and powerful creative tools, infrastructure, and digital experiences." However, the terms of these transactions have not been publicly disclosed.
Who is Windsurf?
Windsurf is one of the platforms that developers have flocked to in recent months for "vibe code," similar to AI programming assistance tools like Cursor and Replit. "Vibe code" is a term that refers to quickly assembling the underlying code for new software using large AI models. This term was first introduced by OpenAI's former co-founder Andrej Karpathy in a post on the social media site X in February of this year. Earlier this month, Microsoft also announced that its widely popular text editor Visual Studio Code has launched an Agent Mode with similar AI programming capabilities.
Windsurf, formerly known as Codeium, is an AI startup based in Mountain View, California, focused on developing next-generation AI programming tools and AI agent integrated development environments.
The core AI programming product of Windsurf is its self-developed AI programming platform ecosystem, designed to support developers with the following AI features: Cascade is an intelligent agent that can understand developers' intentions, automatically generate and modify code, and run and debug programs when necessary; Supercomplete goes beyond traditional auto-completion features, providing context-aware and precise predictive code suggestions to enhance coding efficiency; the Memories feature records users' coding habits and project characteristics, with context auto-saving capabilities to provide personalized suggestions and automated precise operations; Windsurf Tab offers smarter and more relevant suggestions by tracking users' command history and clipboard content.
Windsurf also provides integration with various mainstream software tools and SaaS software subscription services, such as GitHub, Figma, Slack, and Stripe, aiming to offer developers a one-stop development experience.
Windsurf's investors include Founders Fund, General Catalyst, Greenoaks, and Kleiner Perkins. TechCrunch reported in February of this year that Windsurf was in the process of raising funds at a valuation of $2.85 billion.
Undoubtedly, Windsurf currently holds a leading position in the AI programming field, especially in providing an "agent-based" AI programming experience. After being acquired by OpenAI, Windsurf is expected to firmly occupy a dominant market share in the AI programming field and lead the global development of AI programming, thanks to OpenAI's immensely powerful generative AI ecosystem and deep integration with OpenAI's programming agent Codex CLI Windsurf's innovation capability and product performance provide it with broad growth prospects in the AI programming field. The products launched by Windsurf are considered the first true agent-based IDE, capable of actively understanding and assisting developers in completing various extremely complex coding tasks required for developing software systems. Compared to other AI programming tools, Windsurf offers deeper code understanding capabilities and more efficient automation operations, gaining widespread recognition from developers.
Full-version o3 and o4-mini make a splash! OpenAI integrates image reasoning into AI reasoning thinking chain for the first time
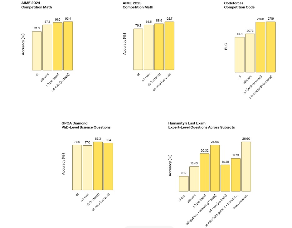
On Wednesday, OpenAI released the full-version o3 and the next-generation reasoning large model o4-mini, which can autonomously judge and combine the built-in tools of ChatGPT. Compared to previous versions of the reasoning large model, it generates more detailed and comprehensive answers. The core new AI features include web search, analyzing uploaded files and data using Python, deep reasoning on visual inputs, and even generating images.
In benchmark tests such as Codeforces, SWE-bench, and MMMU, o3 refreshes the state-of-the-art (SOTA), setting new benchmarks in programming, mathematics, science, and visual perception fields. Especially in image, chart, and graphic analysis, the performance of the o3 large model is particularly outstanding, capable of deeply exploring the details of visual inputs.
Compared to the full-version o3, o4-mini stands out with its compact efficiency and high cost-performance ratio. In the AIME 2025 test, o4-mini achieved a high score of 99.5% in conjunction with the Python interpreter, almost perfectly acing this benchmark test. Moreover, its performance in mathematics, programming, visual tasks, and non-STEM fields surpasses that of o3-mini. Additionally, o4-mini supports usage limits far exceeding those of o3, making it the optimal choice for high-frequency AI usage scenarios.

o3 and o4-mini comprehensively surpass their predecessors in visual reasoning capabilities, becoming the most powerful visual reasoning models in the o series. They achieve a significant breakthrough in visual perception by innovatively using images for reasoning in the AI reasoning thinking chain (CoT) for the first time.
OpenAI has realized for the first time that large models can use images for AI reasoning and thinking within their thinking chain, and it is not just as simple as looking at images.
Similar to the early OpenAI o1, o3 and o4-mini can think longer before answering, generating a long thinking chain internally before responding to users. Furthermore, o3 and o4-mini can demonstrate how to analyze images during the thinking process and automatically combine some images closely related to user inquiries, providing a more comprehensive depth analysis to resolve user questions. This capability can be achieved through tools that process user-uploaded images, such as cropping, enlarging, rotating, and other simple image processing tasks These features are native to the o3 and o4-mini inference large models and do not require reliance on additional specialized models. In benchmark tests, the ability of o3 and o4-mini to think using images, without relying on web browsing, has outperformed the performance of previous-generation multimodal models
