
T.S. Lines, just meeting the threshold for Stock Connect! Focused on container shipping in the Asia-Pacific region—(02510.HK) October 2024 IPO analysis

$TS LINES(02510.HK)
Sponsors: J.P. Morgan Securities (Far East) Limited & China Merchants Securities (Hong Kong) Limited
Listing Date: Friday, November 1, 2024
Offer Price: HKD 3.50 - HKD 4.50
Fundraising Amount: HKD 878 million - HKD 1.129 billion
Board Lot: 1,000 shares
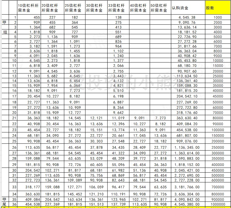
Minimum Subscription: HKD 4,545.38
Subscription Period: October 24, 2024 - October 29, 2024
Total Offer Shares: 250.94 million shares
International Placement: 225.846 million shares (~90%)
Public Offering: 25.094 million shares (~10%)
Total Market Cap: HKD 5.778 billion - HKD 7.429 billion
Issue Ratio: 15.20%
P/E Ratio: 40.98
Company Profile:
Established in 2001, T.S. Lines is a container shipping company focused on the Asia-Pacific region, with a network covering 21 countries/regions and 56 major ports globally. The company operates 46 vessels (36 owned, 10 chartered) with total capacity of 111,011 TEU. By fleet size, it ranks 21st worldwide (0.3% market share) and 6th among Asia-Pacific-focused container shippers (2.3% share as of December 2023).
Key financials for past 3 years and first 4 months of 2023/2024:
Revenue: USD 1.837B, 2.443B, 875M, 318M, 318M (CAGR: -31.01%)
Gross Profit: USD 931M, 1.091B, -34M, -2M, 7M
Net Profit: USD 1.078B, 1.075B, 20M, 18M, 10M (CAGR: -86.25%)
Gross Margin: 50.69%, 44.66%, -3.86%, -0.75%, 2.19%
Net Margin: 58.65%, 43.97%, 2.33%, 5.62%, 3.09%
As of April 30, 2024, cash equivalents totaled USD 484M.
Cornerstone Investors:
6 cornerstone investors committed to 49.43% of offering.
5 underwriters involved.
Sponsor Track Record:
J.P. Morgan Securities (Far East) Limited
China Merchants Securities (Hong Kong) Limited
2. Allotment Ratio & IPO Analysis
(Source: AIPO)
Current margin financing undersubscribed.
Allotment Analysis:
Assuming 8,000 applicants, single-lot success rate should be 94% without clawback.
Group A margin requirements:
Group B requires HKD 9.1M principal. Margin breakdown:
Group B financing tiers and interest rates:
At mid-range price (HKD 4.00), total listing expenses equal ~HKD 108M (10.73% of HKD 1.004B raised), within normal range.
Should you subscribe? Key analysis:
T.S. Lines filed thrice (Oct 2022/Apr 2023/May 2024) before securing approval on Oct 14, 2024 with J.P. Morgan/CMBI as sponsors.
The HKD 1 price range allows minimum HKD 5.7B valuation - barely meeting Stock Connect's HKD 5.9B threshold. Strategic pricing could enable quick inclusion.
Conclusion: T.S. Lines shows potential but carries risks. Risk-tolerant investors familiar with shipping may consider free-riding subscriptions, while cautious investors should weigh volatility. We're opting for free subscriptions.
The copyright of this article belongs to the original author/organization.
The views expressed herein are solely those of the author and do not reflect the stance of the platform. The content is intended for investment reference purposes only and shall not be considered as investment advice. Please contact us if you have any questions or suggestions regarding the content services provided by the platform.
